Saturday, December 24, 2016
TradingArsenal tools - 1 more week left
Only 1 more week left to get TradingArsenal tools in the 2016 low prices!
Enjoy and happy trading!
Thursday, December 15, 2016
Gartley bullish pattern used to time the take profit on GBPUSD shorts
Using opposite pattern (kind of continuation Gartley bullish) to time the exit for GBPUSD shorts.
Closed shorts, but no signal for Longs yet.
Closed shorts, but no signal for Longs yet.
Wednesday, December 14, 2016
Cypher pattern on GBPUSD - update
Going down?
You never know. Let's see. Anyway it was what we call high probability trade with an excellent R:R. More on this soon...
Tuesday, December 13, 2016
Cypher pattern on GBPUSD
Cypher pattern on GBPUSD
The latest korHarmonics indicator is available from here : http://tools.tradingarsenal.com/korharmonics-indicator-download/
Tuesday, December 6, 2016
Monday, December 5, 2016
emerging butterfly pattern GBPUSD
Emerging butterfly bearish pattern GBPUSD M5
If price reaches the PRZ box area (butterfly D point), this may offer high probability opportunity with great R:R
![]() |
| butterfly bearish pattern |
If price reaches the PRZ box area (butterfly D point), this may offer high probability opportunity with great R:R
Wednesday, November 16, 2016
korHarmonics indicator new release
To learn about this new major korHarmonics release read here:
1) dedicated forum thread
2) Facebook page dedicated to TradingArsenal tools and projects
Version 6.9.5 is under the beta-testing now!
Tuesday, November 1, 2016
Emerging butterfly bearish pattern on EURUSD
Emerging butterfly bearish pattern on EURUSD.
Waiting for best R:R and the cycles confirmation.
![]() |
| emerging butterfly bearish pattern |
Wednesday, October 19, 2016
Monday, October 3, 2016
Thursday, September 22, 2016
emerging Gartley pattern on EURGBP
Emerging Gartley pattern on EURGBP...
New version of:
DaVinci harmonic indicator: tools.tradingarsenal.com/davinciskiss-harmonic-indicator-download/
continuation Butterfly bullish pattern on NZDCAD
Emerging butterfly bullish pattern in the trend (red line acting as trendline)
New version of:
DaVinci harmonic indicator: tools.tradingarsenal.com/davinciskiss-harmonic-indicator-download/
Sunday, June 12, 2016
Update on USDJPY butterfly bearish pattern
Update on USDJPY butterfly bearish pattern. This is the power of proper price patterns trading, small risk with high reward potential. Again, pattern location is the KEY!
New version of:
DaVinci harmonic indicator: tools.tradingarsenal.com/davinciskiss-harmonic-indicator-download/
Saturday, June 11, 2016
Update on NZDUSD butterfly bullish pattern
Update on NZDUSD butterfly pattern
New version of:
DaVinci harmonic indicator: tools.tradingarsenal.com/davinciskiss-harmonic-indicator-download/
New version of:
DaVinci harmonic indicator: tools.tradingarsenal.com/davinciskiss-harmonic-indicator-download/
FiboManager Fibonacci indicator: http://tools.tradingarsenal.com/fibomanager-indicator-download/
Emerging bullish ABCD and butterfly pattern on EURJPY
Emerging bullish ABCD and butterfly pattern on EURJPY H4 / D1.
Let's wait a bit more for price to reach this best R:R level.
![]() |
| emerging ABCD and butterfly patterns |
New version of DaVinci harmonic indicator: tools.tradingarsenal.com/davinciskiss-harmonic-indicator-download/
Tuesday, May 31, 2016
EURUSD 121 bullish pattern
... still awaiting quick SL hunting on EURUSD before new potential uptrend move.
![]() |
| korHarmonics indicator - 121 pattern |
New version of TradingArsenal's korHarmonics indicator is available; HERE
Monday, May 30, 2016
emerging butterfly bullish pattern on NZDUSD H1
Emerging butterfly bullish pattern on NZDUSD with two high probability entries levels: at 0.666 and at 0.658 levels.
Sunday, May 29, 2016
Friday, May 20, 2016
EURUSD ABCD pattern
Update to the previous post, ...we arrived to a EURUSD long opportunity:
ABCD bullish with H4 cycle turn. There was no good confirmation from lower TF cycles, but still great R:R to go long.
Tuesday, May 17, 2016
Monday, April 4, 2016
emerging Gartley pattern on EURUSD
Waiting on EURUSD for price to reach Gartley pattern D point location, ... will check if it's than confirmed by the MTF cycle indicator (cycles on H4 and H1 are approaching potential turning point) ...
anyway, very good R:R for this potential bearish Gartley trade.
New version of MTF cycle analysis; HERE
New version of DaVinci harmonic indicator: HERE
anyway, very good R:R for this potential bearish Gartley trade.
New version of MTF cycle analysis; HERE
New version of DaVinci harmonic indicator: HERE
Wednesday, March 30, 2016
Wednesday, March 16, 2016
harmonic bullish pattern on NZDUSD (post update)
Update to the previous post for NZDUSD bullish pattern.
Strong price reaction confirmd by the cycles.
New version of DaVinci harmonic indicator -> HERE
New version of MTF cycle indicator -> HERE
Tuesday, March 15, 2016
NZDUSD bullish pattern
perfect R:R on Forex NZDUSD pair, ...so will it work?
New version of DaVinci indicator: tools.tradingarsenal.com/davinciskiss-harmonic-indicator-download/
New version of DaVinci indicator: tools.tradingarsenal.com/davinciskiss-harmonic-indicator-download/
Wednesday, March 9, 2016
emerging Butterfly bearish pattern
Emerging butterfly bearish pattern on NZDUSD
![]() |
| emerging butterfly bearish pattern - Forex NZDUSD |
Sunday, February 28, 2016
butterfly bearish update - take profit level
Update to the previous bearish butterfly short opportunity.
Take profit taken due to 1. Friday afternoon, 2. impulse move equal to BC swing.
For more about butterfly pattern trading take a look at: http://tradingarsenal.com/butterfly-pattern/306-butterfly-pattern-table-content.html
Take profit taken due to 1. Friday afternoon, 2. impulse move equal to BC swing.
![]() |
| Butterfly bearish take profit |
For more about butterfly pattern trading take a look at: http://tradingarsenal.com/butterfly-pattern/306-butterfly-pattern-table-content.html
Friday, February 26, 2016
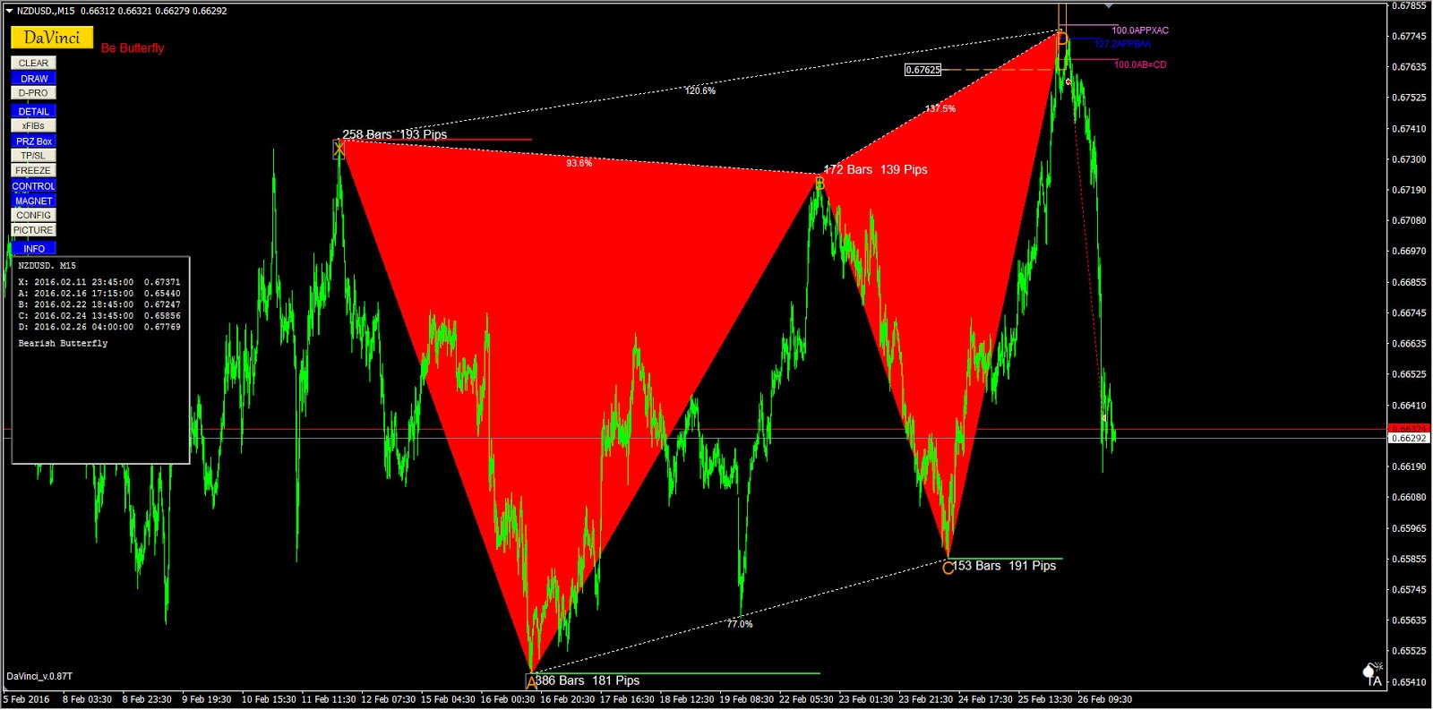
butterfly bearish pattern on Forex NZDUSD
Butterfly bearish marking possible end of correction at NZDUSD.
AB=CD, XAD=1.13
![]() |
| butterfly bearish pattern on NZDUSD |
New version of DaVinci indicator: tools.tradingarsenal.com/davinciskiss-harmonic-indicator-download/
Tuesday, January 12, 2016
korHarmonics indicator - new 6.8.5 version download
This is quick update regarding korHarmonics harmonic indicator.
We have launched new commercial version 6.8.5.
Functional description and korHarmonics download option is available from: http://tools.tradingarsenal.com/korharmonics-indicator-download/
korHarmonics automatically scans the charts and presents (real-time and historical) price, harmonic and geometric patterns appearing on any chart and covering any instrument available on your broker platform supported by MT4.
korHarmonics is different from DaVinci indicator.
DaVinci is intended to support the harmonic trader’s analysis and make the drawing of valid harmonic patterns. The user positions the X, A, B, C, D points on the chart and the indicator will perform the validation and classification of the harmonic pattern, draw the PRZ BOX and Fibonacci PRZ lines.
To read more about DaVinci indicator please visit: http://tools.tradingarsenal.com/davinciskiss-harmonic-indicator-download/
If you look for a web based scanner, you need to check our www.AMPmonitor.com
We have launched new commercial version 6.8.5.
Functional description and korHarmonics download option is available from: http://tools.tradingarsenal.com/korharmonics-indicator-download/
korHarmonics automatically scans the charts and presents (real-time and historical) price, harmonic and geometric patterns appearing on any chart and covering any instrument available on your broker platform supported by MT4.
korHarmonics is different from DaVinci indicator.
DaVinci is intended to support the harmonic trader’s analysis and make the drawing of valid harmonic patterns. The user positions the X, A, B, C, D points on the chart and the indicator will perform the validation and classification of the harmonic pattern, draw the PRZ BOX and Fibonacci PRZ lines.
To read more about DaVinci indicator please visit: http://tools.tradingarsenal.com/davinciskiss-harmonic-indicator-download/
If you look for a web based scanner, you need to check our www.AMPmonitor.com
Subscribe to:
Comments (Atom)





























